Une vive controverse secoue actuellement le Mouvement pour la Renaissance du Cameroun (MRC), à la suite de la Convention dite extraordinaire tenue en visioconférence le 21 décembre 2025. Plusieurs militants, par la voix d’un porte-parole mandaté, dénoncent de graves irrégularités entachant tant la tenue de cette Convention que le procès-verbal d’élection qui en découle.
Chronologie d’une crise interne
La séquence des événements ayant conduit à cette situation mérite d’être rappelée :
- Le 18 novembre 2025, une note interne signée par M. Joseph Thierry OKALA EBODE soulignait l’impossibilité, selon les textes du parti, d’un retour de M. Maurice KAMTO à la présidence du MRC.
- Le 27 novembre, le Sous-préfet de Yaoundé IV interdisait formellement la tenue de la Convention prévue le 29 novembre à Odza, invoquant une « menace grave de trouble à l’ordre public ».
- Le 21 décembre, une Convention extraordinaire était organisée en ligne, donnant lieu à un procès-verbal d’élection aux résultats chiffrés, mais jugés opaques par certains membres.
- La contestation actuelle porte exclusivement sur la validité administrative de ce procès-verbal, au regard des exigences de régularité, de transparence et de sécurité juridique.

Un contournement présumé de l’autorité administrative
Selon les contestataires, l’arrêté préfectoral du 27 novembre interdisait explicitement la Convention du 29 novembre, sans prévoir d’alternative. Or, la tenue d’une Convention virtuelle poursuivant le même objet statutaire, sans traitement préalable des causes du risque évoqué, constituerait un contournement de fait de cette décision administrative.
Ils soulignent que l’interdiction ne visait pas uniquement le lieu physique, mais l’événement lui-même, en raison de son potentiel perturbateur. Dès lors, la légitimité des actes issus de la Convention du 21 décembre serait juridiquement fragile.
Une base statutaire jugée inexistante
Autre point de discorde : l’absence de fondement statutaire clair pour une Convention élective en ligne. Ni les Statuts du MRC ni son Règlement intérieur ne prévoient :
- la tenue d’une Convention nationale élective en visioconférence,
- les modalités de quorum à distance,
- l’identification individuelle des délégués,
- la garantie du secret et de l’unicité du vote,
- ou encore le rôle du bureau de séance dans un cadre dématérialisé.
Les élections internes organisées en ligne en 2022 sont évoquées comme précédents, mais elles n’ont jamais été intégrées aux textes lors de la révision statutaire de 2023. En droit, une pratique ne saurait se substituer à une norme, surtout dans un contexte de crise.

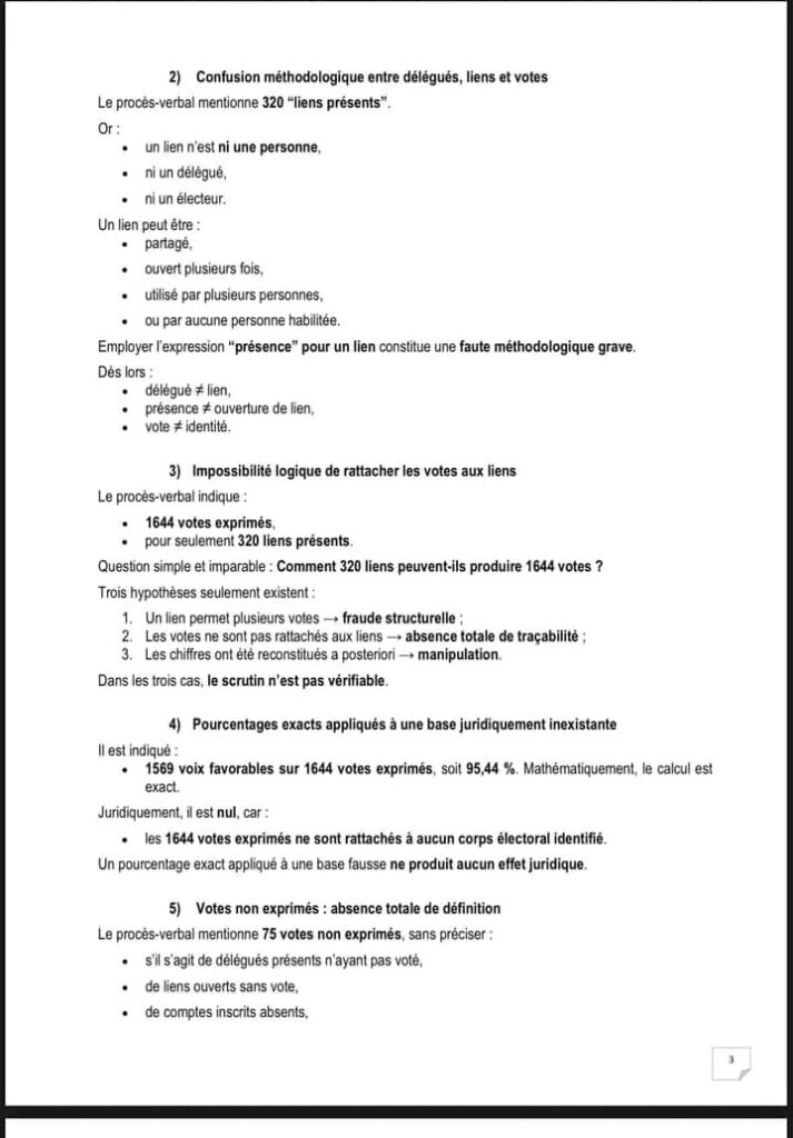
Des chiffres qui interrogent
Le procès-verbal d’élection publié mentionne :
- 2320 délégués inscrits,
- 320 connexions présentes,
- 1644 votes exprimés,
- 75 votes non exprimés,
- 1569 voix favorables (soit 95,44 %).
Ces chiffres soulèvent plusieurs incohérences majeures. Notamment, l’absence d’un corps électoral identifiable : aucune indication sur l’organe ayant procédé aux inscriptions, ni sur la date d’arrêt de la liste électorale, ni sur le fondement statutaire de cette « inscription », notion étrangère à une Convention.
En l’état, il est donc impossible de vérifier qui avait le droit de voter, qui a effectivement voté, et comment chaque vote est rattaché à un électeur unique.




Une démarche de précaution, pas de division
Le porte-parole des militants insiste : « Il ne s’agit pas d’une querelle politique, mais d’un appel à la rigueur juridique. Un acte interne aussi fondamental que l’élection du Président National ne peut reposer sur des bases aussi fragiles, au risque de créer un contentieux durable et des troubles internes. »
Alors que le MRC traverse une phase délicate de son histoire, cette contestation met en lumière les défis de gouvernance et de légitimité auxquels sont confrontés les partis politiques à l’ère du numérique.
Leave a comment









