
Le Social Democratic Front (SDF) affirme avoir identifié 1 153 bureaux de vote dont la localisation soulève de sérieuses interrogations. Dans une publication relayée sur Facebook, le parti évoque des “preuves documentées” pour appuyer ses accusations.
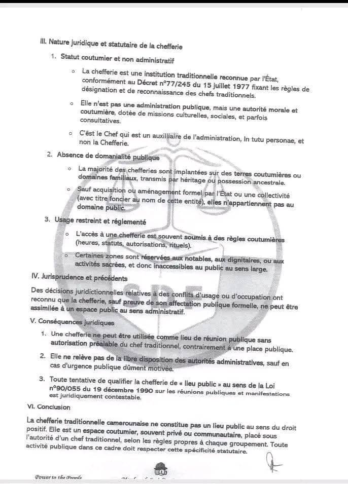
Selon les responsables du SDF, plusieurs de ces bureaux sont installés dans des chefferies traditionnelles, des casernes militaires, ainsi que dans des lieux qualifiés de “privés”. Le parti estime que ces emplacements ne garantissent pas la transparence ni l’accessibilité requises pour un scrutin démocratique.




Malgré des recours et des demandes de relocalisation formulés antérieurement, le SDF déplore l’inaction des autorités compétentes. Les commissions mixtes, dans lesquelles ses équipes sont représentées, confirment le maintien de ces points de vote jugés problématiques.
Pour le SDF, les casernes et chefferies ne sont pas des lieux publics et pourraient influencer l’issue du vote ou en compromettre l’équité. Le parti appelle une fois de plus à une révision urgente de ces localisations avant le scrutin.
Leave a comment








